Leidenschaftlich neugierig
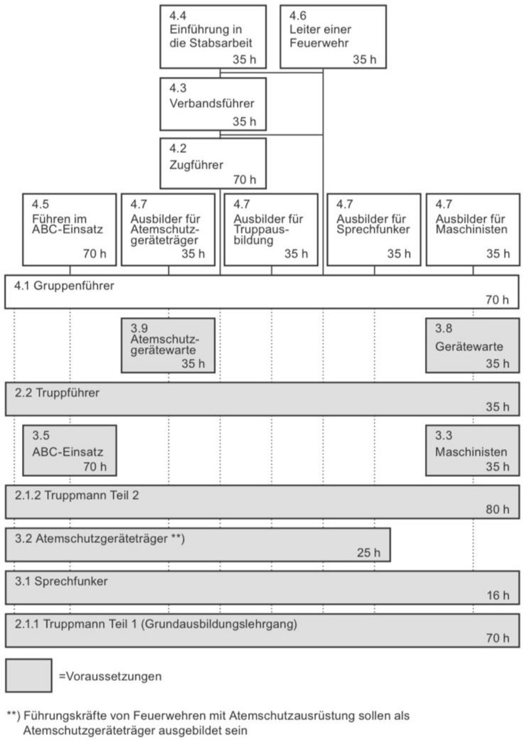
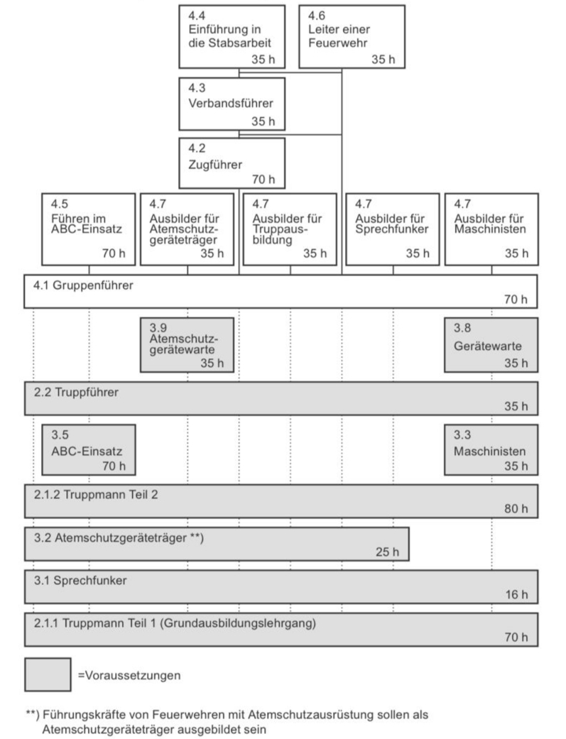
Die Ausbildung in der Feuerwehr nach der FwDV 2 (Feuerwehr-Dienstvorschrift 2) legt einen klaren Rahmen für die Grundausbildung und das Training der Feuerwehrangehörigen fest. Ziel ist es, die Einsatzkräfte optimal auf ihre Aufgaben im Brand- und Katastrophenschutz vorzubereiten.
Die FwDV 2 behandelt sowohl die theoretischen als auch die praktischen Aspekte der Brandbekämpfung, der technischen Hilfeleistung und der Gefahrenabwehr. Ein zentraler Bestandteil der Ausbildung ist das Erlernen der richtigen Handhabung der Einsatzmittel sowie der Einsatzplanung und
-durchführung.
Lehrgänge
Die Feuerwehr-Dienstvorschrift 2 (FwDV2) stellt die Grundlage unserer Aus- und Fortbildung dar und regelt die jeweils erforderlichen ausbildungsbezogenen Voraussetzungen für die Angehörigen von Freiwilligen Feuerwehren.

Truppmann 1
Ziel der Truppmannausbildung Teil 1 ist die Befähigung zur Übernahme von grundlegenden Tätigkeiten im Lösch- und Hilfeleistungseinsatz in Truppmannfunktion unter Anleitung.

Truppmann 2
Ziel der Truppmannausbildung Teil 2 ist die selbstständige Wahrnehmung der Truppmannfunktion im Lösch- und Hilfeleistungseinsatz sowie die Vermittlung standortbezogener Kenntnisse.

Sprechfunker
Ziel der Ausbildung ist die Befähigung zum Übermitteln von Nachrichten mit Sprechfunkgeräten im Feuerwehrdienst

Maschinist für Löschfahrzeuge
Ziel der Ausbildung ist die Befähigung zum Bedienen maschinell angetriebener Einrichtungen - mit Ausnahme von maschinellen Zugeinrichtungen- und sonstiger auf Löschfahrzeugen mitgeführten Geräte sowie die Vermittlung von Kenntnissen und richtiger Verhaltensweisen, die für die Durchführung von Einsatzfahrten unter Inanspruchnahme von Sonderrechten erforderlich sind.

Atemschutzgeräteträger
Ziel der Ausbildung ist die Befähigung zum Einsatz unter Atemschutz.

ABC Einsatz
Ziel der Ausbildung ist die Befähigung zur Handhabung der Sonderausrüstung einschließlich der Schutzkleidung.

Absturzsicherung
Ziel ist die Befähigung zur Rettung aus Höhen und Tiefen sowie die Handhabung der entsprechenden Ausrüstung.
Lehrgänge I/2026
Im ersten Quartal 2026 plant die Feuerwehr eine Reihe von Lehrgängen, die darauf abzielen, die Fachkenntnisse und Fähigkeiten der Einsatzkräfte zu vertiefen.
Die genauen Termine seht Ihr hier im Überblick, entnommen aus dem BOSPRO.
(BOSPro ist eine Anwendungsplattform zur Verwaltung von Feuerwehren, Hilfsorganisationen und Ähnlichen)
Die Buchung der Lehrgänge erfolgt über den Einheitsführer der jeweiligen Einheiten.

Ausbildungsbeauftragter & Kontakt: Herr Dietrich

